절연지의 평균중합도
다양한 유기/무기 소재의 연구개발에 관한 업무를 성심껏 도와드릴 것을 약속합니다.
변압기의 주 절연물로 쓰이고 있는 절연지는 목재 펄프의 원료로부터 추출한 셀룰로오스 섬유구조로 되어 있습니다.
이러한 섬유는 각기 다른 길이의 셀룰로오스 분자의 묶음으로 구성이 됩니다. 셀룰로오스계 절연지가 변압기의 절연물로 사용되어질 때 열적 요인에 의해 열화하면 셀룰로오스 분자는 끊어져 짧아지고, 동시에 인장강도도 떨어지게 되면서 변압기의 수명도 떨어지게 됩니다. 한국고분자시험연구소㈜에서는 절연지 인장 강도의 열화도를 표시하는 지표의 하나인 평균중합도 시험을 서비스 하고 있습니다.‘간편 상담문의’ 또는 ‘분석신청 바로가기’를 통해 접수해주시면, 담당연구원으로부터 빠르고 정확한 답변을 받아보실 수 있습니다.
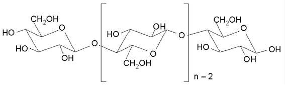
셀룰로오스의 화학구조

측정원리
CED용액에서 페이퍼 용액의 비점성도를 측정하고 이 결과를 통해 고유점성도를 추론한 후, 중합도를 산출합니다. 이 시험방법은 변압기나 케이블, 케패시터 제조에 사용되는 모든 셀룰로오스계 절연 물질에 적용할 수 있습니다. 평균중합도 시험결과를 통해 시편의 상태를 확인할 수 있습니다.
절연지 상태에 따른 평균중합도
| 시편상태 | 평균중합도 |
|---|---|
| 신규 | 1000 ~ 2000 |
| 양호 | 650 ~ 1000 |
| 평균 | 350 ~ 650 |
| 열화 | 350 이하 |


