첨가제분석
다양한 유기/무기 소재의 연구개발에 관한 업무를 성심껏 도와드릴 것을 약속합니다.
한국고분자시험연구소㈜에서는 플라스틱 제품에 함유된 다양한 첨가제의 정성 및 정량분석서비스를 수행하고 있습니다.
폴리올레핀을 포함한 대부분의 플라스틱은 이러한 첨가제를 필수적으로 사용하도록 되어있고, 이것들이 정말 함유되어 있는지 얼마나 함유되어 있는지, 성적서를 요구받기도 하기 때문입니다. 하지만 이 첨가제 정성분석은 생각만큼 간단하지는 않습니다. 고분자로부터 첨가제를 용출시키고, 각 첨가제 성분들이 chromatogram상에서 겹치지 않도록 조건을 설정해야 합니다. 또한, 함유된 첨가제 표준물질로부터 미리 검량곡선을 만들어 놓아야 합니다. Koptri 에서는 기본적으로 HPLC(PDA, ELSD detection) 혹은 GC/MS를 이용하여 첨가제 분석을 합니다. 분석하는 첨가제는 주로, BHT, Irganox series(245, 1010, 1035, 1076, 1330, 3114), Irgafos 168, Ultranox 626, Tinuvin series(326, 327, 328, 384, 440, 622, 770, 1130), Chimassorb 944, Cyasorb UV1164, Oleamide 등 입니다. 단, 이러한 성분분석을 위해서는 원칙적으로는 특정성분분석으로만 가능하며, 해당하는 첨가제물질을 표준물질(기준물질, 참조물질)로 소량 제공하여 주셔야 합니다. 내용성분을 전혀 모르는 상태에서 첨가제성분을 분석해야 하는 경우는, 문의시 따로 말씀해주시기 바랍니다. 이 경우는, 미지성분분석이 되어서, 최선성분분석으로만 서비스합니다. ‘간편 상담문의’ 또는 ‘분석신청 바로가기’를 통해 접수해주시면, 담당연구원으로부터 빠르고 정확한 답변을 받아보실 수 있습니다.
- 첨가제 분석
- 첨가제들의 HPLC분석예
- 대표적인 Hindered phenol의 종류
- 대표적인 Hindered amime의 종류
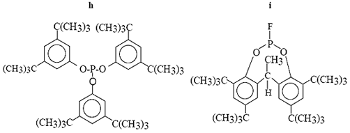
- 대표적인 2차 산화안정제의 종류(Phosphite)
- 기타 플라스틱 충진제 및 목적
첨가제 분석
| 항목 | 설명 |
| 광안정제(UV안정제) | 자외선에 의한 수지의 열화를 방지. 실외에서 사용되는 제품에는 필히 처방 되어야 하며, 수지의 종류에 따라 자외선 하에서 견디는 정도가 많은 차이가 있습니다. UV흡수제 혹은 HALS(Hindered amine light stabilizer)가 사용된다.
ㆍUV흡수제: TINUVIN234 TINUVIN326 TINUVIN327 TINUVIN328 TINUVIN329 TINUVIN360 TINUVIN571 TINUVIN1577 TINUVIN P UVINUL3035 UVINUL3039 Chimassorb81 ㆍHALS: TINUVIN123 TINUVIN622 TINUVIN765 TINUVIN770 UVINUL4050H UVINUL5050H STAB-LA57 STAB-LA62 Cyasorb UV3853 Cyasorb UV3080 UV 2908 |
| 산화안정제 | 대기 중의 산소와의 결합에 의한 산화 분해를 방지 |
| 열안정제 | 성형 가공 시 열에 의한 제품의 열화를 방지. |
| 가소제 | 수지와의 상용성이 좋은 제품으로 폴리머의 분자 사이에 분산되어 분자의 움직임을 향상 시킨다. 주로 PVC수지에 많이 사용되며, DOP, DBP, DOA, DINP등이 사용됨. |
| 난연제 | 전기 절연재, 건자재, 가전 제품등에 사용되는 플라스틱이 연소될 시 자연 소화되어 더 큰 화재를 일으키지 않도록 안전의 요구에 의하여 주로 사용됨. 브롬(Br), 염소(Cl)등을 포함하는 유기 화합물을 첨가하여 연소과정에서 라디칼과 반응하여 연소를 중지 시킨다. 주로 할로겐계 화합물과 난연 조제로 산화 안티몬을 조합한 것, 브롬(Br)계 난연제분석, 인(P)계 난연제분석(Tris(mono-nonylphenyl)phosphate 분석) |
| 이형제 | 제품의 성형시 금형에 달라 붙는 현상을 방지 하기 위하여 계면 활성제를 소량 첨가 함. 원재료 제조시 혼합 하는 내부 이형제와 외부에서 금형에 직접 분사하는 외부 이형제로 분류됨 Bis-amide(N,N'-ethyiene bis-stearamide)의 함량분석 |
| 대전방지제 | 플라스틱의 전하의 방전을 도와 정전기에 의한 스파크 화재나 작업자 쇼크 및 제품의 정전기에 의한 문제 발생을 제어함. 각종의 계면활성제, 카본 블랙, 메탈 충진제, Elucamide 등의 혼련으로 대전 방지 효과를 얻음. |
첨가제들의 HPLC분석예


대표적인 Hindered phenol의 종류

대표적인 Hindered amime의 종류

대표적인 2차 산화안정제의 종류(Phosphite)

기타 플라스틱 충진제 및 목적
- Talc(3MgO.4SiO2.H2O, 증량)
- Mica(판상, 전기절연성)
- Silica(내약품, 내열 향상)
- CaCO3(저가, 유연성)
- Clay(내약품성, 증량)
- Graphite(내마모, 마찰계수 저하)
- Alumina(열전도 개선)
- Carbon Black(착색,광안정,대전방지)
- TiO2(백색, 차광성)
- BaSO4(고비중, 표면 광택, 증점)
- MoS2(내마모성 향상)
- 목분(탄성 향상, 압축강도 개선)
- 철분(기계강도, 열전도율 개선)
- 석분 (저가, 내열성 향상)
- 규조토 (내약품성 향상)
- 알루미늄 분말 (열전도 향상, 내열, 기계강도 향상)


