유기산 분석
다양한 유기/무기 소재의 연구개발에 관한 업무를 성심껏 도와드릴 것을 약속합니다.
한국고분자시험연구소㈜에서는 IC(Ion Chromatography)를 이용한 유기산 분석 서비스를 수행하고 있습니다.
유기산은 산성 특성을 가진 유기 화합물로, 무기산에 최소한으로 반응하기 때문에 부식 처리 및 예방에 사용됩니다. 주스 및 와인 산업에서는 유기산을 사용하여 맛, 색상 및 향을 향상시키고, 안정성과 미생물을 제어하기 때문에 환경, 의약품, 식품 등 다양한 분야에서 사용됩니다. 이온성 물질이 혼합된 시료를 이온 교환 컬럼 또는 이온 배제 컬럼으로 분리한 후, 전기 전도도 검출기를 사용하여 각 성분의 농도를 측정하는 기법입니다. IC는 물에 용해할 수 있는 고체 또는 수용액 시료에 존재하는 유기산을 동시에 분석할 수 있습니다. ‘간편 상담문의’ 또는 ‘분석신청 바로가기’를 통해 접수해주시면, 담당연구원으로부터 빠르고 정확한 답변을 받아보실 수 있습니다.
유기산 종류
| 항목 | 대표 분석물질 |
| 유기산 분석 | Acetic Acid, n-Butyric Acid, Citric Acid, Caproic Acid, Formic Acid, Malic Acid, Oxalic Acid, Propionic Acid, Succinic Acid, Valeric Acid |
원리
유기산 이온 크로마토그래피는 크로마토그래피의 다양한 분석 방식 중 이온배제(Ion exclusion) 방법을 통해 이온성을 띄지 않는 고정상(column)에 시료를 주입하면 시료 내에 이온성분들은 Functional Group과 반응하지 못하고 컬럼을 지나오며 이온성을 띄지 않는 성분(유기산)만 컬럼에서 반응 후 분리되게 됩니다. 컬럼 내부에서 반응 후 마지막 전기전도도 검출기에서 검출하는 단계에서만 음전하를 띄게 되어 검출됩니다.

유기산 이온 분리 메커니즘
이온 성분이 우선 배제되고, 분석 대상 물질과 컬럼 사이에 Lipohilic interation)
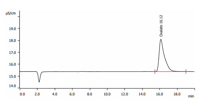
유기산 표준물질의 IC Chromatogram

IC를 이용한 유기산 분석 예시
Formic Acid

Oxalic Acid



